热带陆面降水的六月持续性障碍
近日,物理海洋教育部重点实验室在Climate Dynamics期刊发表题为“June Persistence Barrier of Tropical Land Precipitation”(《热带陆面降水的六月持续性障碍》)的最新研究成果,该研究首次发现热带陆面降水(TLP)在6月存在显著的持续性障碍现象,并揭示大尺度Walker环流异常是联结ENSO与TLP的关键桥梁。成果由实验室/海洋与大气学院已毕业博士研究生安然为第一作者,实验室“筑峰人才工程”第一层次李建平教授为通讯作者的科研团队合作完成。
TLP的季节变化对局地和全球的能量、水分再分配以及区域生产生活具有重要影响。已有研究多聚焦于寻找TLP外部可能的影响因子,而对TLP自身的持续性特征研究较少,深入理解探究TLP季节变化规律并提升其季节预测能力具有重要的科学意义和应用价值。
本研究基于多套观测资料一致发现,TLP的持续性存在明显的季节变化特征(图1),其中一个显著特点是无论起始于全年12个中的哪个月份,TLP持续性总在春末夏初(多在6月)显著下降(图2),我们将这一新的发现称之为TLP 6月持续性障碍现象,6月之前仍具备一定延续性的降水信号,会在此时迅速丧失记忆。因此,春末夏初成为TLP预测的“瓶颈期”,此时TLP的可预测性最弱,这种可预测性障碍会导致热带地区水资源调度、农业生产安排等面临更大不确定性。因此,TLP 6月持续性障碍是理解和提升热带陆面降水预测能力必须跨越的一道关口。

图1. 1979-2017年期间TLP的滞后自相关。(a–g)分别表示基于GPCC,Delaware,GPCP,PRECL,CRU,CMAPS和ERA5数据集的结果。等值线间隔为0.1。黑色打点区域代表通过置信水平为95%的有效自由度检验。带白色圆圈的红色点代表持续性障碍发生在6月份,白色点代表发生在5月,灰色代表发生在一年中的其他月。

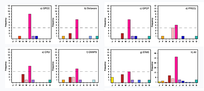
图2. 各月TLP滞后自相关第一次转为不显著时对应的滞后月份所出现的频次。(a–g)分别表示基于GPCC,Delaware,GPCP,PRECL,CRU,CMAPS和ERA5数据集的结果,(h)表示所有数据的总和。
研究进一步指出,ENSO相关的热带中东太平洋海表温度(SST)异常在TLP持续性中起着决定性作用。由于ENSO本身存在春季持续性障碍,本研究将ENSO的春季持续性障碍与TLP的6月持续性障碍通过大气桥联系起来,研究结果显示,ENSO通过调控热带纬向Walker环流,影响全球热带陆面上空大气稳定性,使得热带陆面上空产生一致的异常垂直运动,进而导致TLP产生持续性变化,这是形成TLP持续性的关键物理路径(图3)。Walker环流作为关键桥梁,其自身的持续性也表现出显著的六月障碍特征,当线性移除Walker环流的影响后,TLP持续性特征几乎消失。研究进一步印证了“ENSO持续性障碍→Walker环流持续性障碍→TLP持续性障碍”的传递路径,突出了大尺度动力过程在持续性障碍形成中的核心地位。

图3. Niño3.4指数与经向平均的(20°S–20°N)异常垂直环流场(矢量)和垂直速度(填色,正值代表上升运动)的相关分布。绿色线框为热带大陆所在的大致位置。
上述工作揭示了TLP持续性特征及其受ENSO主导的物理机制,不仅有助于深入理解TLP自身变化,也为后续创新发展基于TLP持续性特征的季节预测方法提供了理论依据。研究工作得到国家自然科学基金重点项目、崂山实验室科技创新项目、山东省自然科学基金重大基础研究项目联合资助。
文章引用:
AN R., J. -P. Li*, and J. Feng, 2025: June Persistence Barrier of Tropical Land Precipitation. Climate Dynamics, 63:417, https://doi.org/10.1007/s00382-025-07901-7.