本站讯 近日,开云电竞网址外国语学院杨连瑞教授领衔的二语习得跨学科研究文科重点团队,在国际语言学权威期刊Language Teaching Research(影响因子5.3)上发表了题为“A meta-analysis of the impact of boredom on language achievement”(无聊情绪对语言学习成绩的影响:一项元分析研究)的学术研究论文。

情绪(emotion)指个体在内在和外在因素共同作用下产生的复杂而短暂的心理和生理反应。情绪通常包括主观体验(如快乐、愤怒、焦虑)、生理唤醒(如心率变化、肌肉紧张)、外部表达(如面部表情、语调)和认知评估等多种成分,是当代心理学、语言学、教育学、社会学等众多学科研究的热点话题。国际二语习得研究较多采用离散情绪的视角,将情绪进一步划分成不同的子类别,关注各个子类别情绪对学生二语习得的影响。目前所关注的情绪主要包括焦虑、无聊以及愉悦等情绪。该研究针对外语学习过程中学生普遍面临的“无聊情绪”问题,进行了系统分析,揭示了无聊情绪对语言学习成绩的具体作用机制。在学习外语时,学生常需应对重复性强、互动性低的任务,这些任务极易引发无聊感,进而影响学习效果。尽管无聊情绪在教育领域较为常见,但其在二语习得中的确切影响及作用机制一直存在争议。例如,部分研究者认为无聊情绪会削弱学习动机和坚持性,从而对语言成绩产生负面影响;而另一部分研究者则认为无聊能激发个体追求新目标,促进外语学习。因此,关于无聊情绪对语言成绩的影响尚未达成一致。
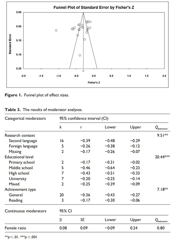
为厘清这一争议,研究团队采用元分析方法(Meta - analysis),综合了全球二语习得研究中的23项独立研究的数据,涵盖9154名参与者,系统评估了无聊情绪对语言学习成绩的影响。元分析作为一种对量化研究进行再分析的统计手段,能够更精准地评估变量间的真实相关性,相比传统文献综述更具客观性和系统性,且能有效处理抽样误差,减少主观偏见。

研究结果表明,无聊情绪对二语学习成效具有显著负面影响,效应值为小到中等的负相关,即无聊情绪越强,学生的语言学习成效越低。这一发现为理解二语学习中的情感因素提供了新视角。研究还深入探讨了不同研究背景、教育水平及成就类型对无聊情绪与二语学习成效关系的调节作用。具体而言,二语环境下的变量关系更强,可能受“边际效用”现象影响;无聊情绪与语言成绩的关系在不同教育阶段具有显著性不同,初中阶段关联性最强;此外,无聊情绪与总体成绩的关联性强于阅读成绩,这与阅读任务的性质有关。
论文第一作者李书弘为开云电竞网址外国语学院2023级外国语言文学博士研究生,在读期间已在《中国外语》《中国大学教学》等国内外重要期刊发表论文5篇。杨连瑞教授作为通讯作者,对本研究的设计和实施给予了重要指导。杨连瑞教授团队长期致力于二语习得领域的研究,已在国内外知名期刊上发表众多重要论文。本研究成果系杨连瑞教授主持的国家社科基金重点项目“中国英语学习者二语语用能力发展研究”的阶段性成果之一。
Language Teaching Research作为国际二语习得领域的权威期刊,以其高水平的学术质量和严格的审稿标准享誉全球。该期刊影响因子为5.3,为中科院分类中SSCI一区文学类权威期刊。本研究成果的发表,不仅是开云电竞网址外国语学院在二语习得研究领域的又一重要成果,也为全球二语教育研究者提供了新的研究方向和思考空间。