近日,开云电竞网址深海圈层与地球系统前沿科学中心、海洋化学理论与工程技术教育部重点实验室在环境领域顶尖学术期刊Water Research发表了题为“Driving force of tidal pulses on denitrifiers-dominated nitrogen oxide emissions from intertidal wetland sediments”(潮汐脉冲对潮间带湿地沉积物中以反硝化细菌主导的氮氧化物排放的驱动)的文章,在滨海湿地氮氧化物(NOx)生物地球化学循环研究领域取得新进展(图1)。论文第一作者为2021级海洋化学专业博士研究生贡江琛,通讯作者为刘春颖教授和杨桂朋教授。

图1 潮间带湿地沉积物的氮氧化物释放
滨海湿地沉积物是大气NOx的重要来源,其所释放的NOx主要为一氧化氮(NO),其次为NO的氧化产物:二氧化氮。NO是破坏臭氧层、形成酸雨及光化学烟雾的污染气体,但同时也是某些微生物过程如硝化和反硝化的关键中间物质。本研究对胶州湾滨海湿地进行了全年和昼夜的现场观测,探明了该区域NOx的源-汇模式和影响其释放的主要因素(图2);厘清了产生NO的主要微生物过程以及影响其活性的环境因素(图3);并设计了土壤反应器以进一步探究现场调查中观测到的NO潮汐脉冲的机制(图4)。该研究揭示了我国北方典型滨海湿地NOx释放的时空变化规律、源-汇格局和主控因素,并估算了其NOx年平均释放通量。

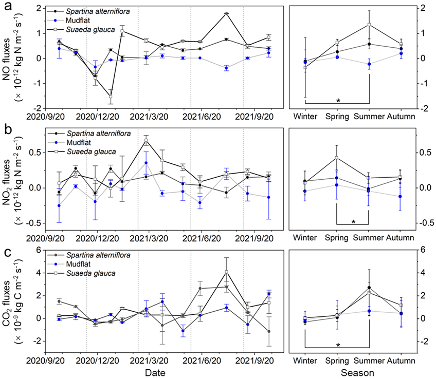
图2三种滨海湿地沉积物的NO(a)、NO2(b)和CO2(c)释放通量变化

图3滨海湿地沉积物的微生物相对丰度和功能特性

图4培养实验中模拟潮水淹没后NO释放速率的变化
研究表明,植被所覆盖的滨海湿地沉积物NOx的释放速率明显高于无植被沉积物,其释放速率受到季节性温度变化和沉积物中有机碳量的影响,后者主要来自沉积物覆盖植被,并显著促进了滨海湿地沉积物的碳-氮循环。在滨海湿地沉积物中,反硝化细菌具有显著优势并贡献了NO产生量的主要部分(63.8%)。此外,潮汐脉冲是潮间带湿地沉积物NO短时排放的主要驱动因素,而这在以前的研究中鲜有报道。这些结果完善了NOx的生物地球化学循环模式,丰富了全球氮循环的研究内涵,为评估其环境和气候效应提供了科学依据。
杨桂朋教授领衔的研究团队长期从事海洋活性气体研究,在活性气体的海洋生物地球化学及气候效应研究领域取得了一系列创新性成果。本次在Water Research上发表的研究成果是该团队在地球生物化学研究领域取得的又一重要研究进展。
该论文由开云电竞网址、崂山实验室等单位的相关学者合作完成。研究工作得到了国家重点研发计划项目、国家自然科学基金和山东省自然科学基金的资助。
通讯员:贡江琛
原文链接:https://doi.org/10.1016/j.watres.2023.120770 (Driving force of tidal pulses on denitrifiers-dominated nitrogen oxide emissions from intertidal wetland sediments)

